Terreno agricolo in Vendita

€ 60.000
11.440 m²

Nota

Annuncio aggiornato il 17/04/2025
Descrizione

riferimento: 5233293

Terreni agricoli

Sei alla ricerca di terreni agricoli vicino a Sondrio? Allora questo è l'annuncio che fa al caso tuo!

I terreni che ti stiamo proponendo si trovano a Triangia, in località Moroni - Pradella, a pochi chilometri da Sondrio, e sono così suddivisi:

alcuni terreni agricoli, adatti ad un imprenditore che può usufruire delle agevolazioni fiscali o accrescere la superficie della propria azienda, oppure per chiunque voglia trasferire la volumetria grazie al PGT. Potrai trovare in allegato la tabella dei valori agricoli medi dei terreni della zona.

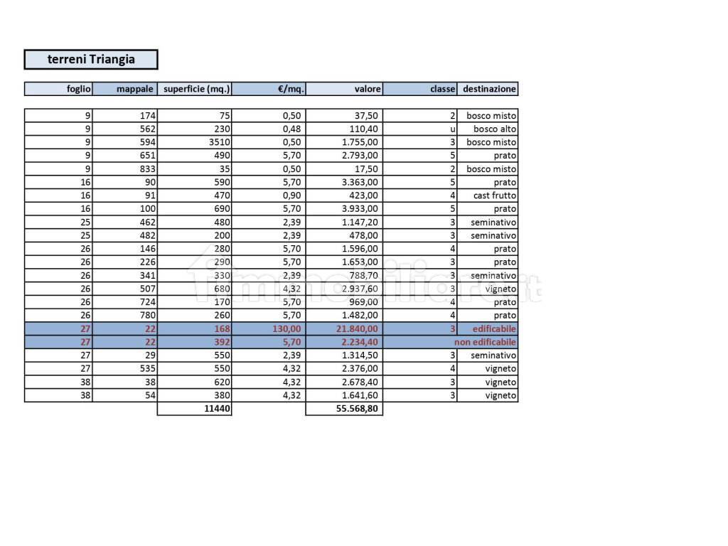
Alleghiamo inoltre il C.D.U. e la tabella riassuntiva di tutti i terreni e relativo valore complessivo. Il prezzo indicato è stato ricavato dai valori agricoli medi indicati dalla Provincia. La richiesta è trattabile.

Cosa aspetti ? Chiamaci subito e prenota un appuntamento per ulteriori informazioni.

C.D.U. Terreni Triangia - Sondrio
TABELLA VALORI AGRICOLI - Sondrio
TERRENI AGRICOLI - Planimetrie Catastali Triangia- Sondrio
TERRENO PARZIALMENTE EDIFICABILE : Triangia- Sondrio
VALORE COMPLESSIVO : Terreni Triangia, Sondrio

www.bertolatti.it
www.facebook.com/BertolattiRealEstate/
Caratteristiche
Contratto
Vendita
Tipologia
Terreno Agricolo
Superficie
11.440 m²
Disponibilità
Libero
Dislivello terreno
Leggero
Altre caratteristiche
  • Allaccio acqua
  • Allaccio elettricità
  • Allaccio fogne
  • Allaccio gas
  • Illuminazione pubblica
  • Incolto
Informazioni sul prezzo
Prezzo
€ 60.000
Prezzo al m²
5 €/m²
New
Scopri ogni angolo dell'immobile
+17
Opzioni aggiuntive

Contatta l'inserzionista

Oppure